Potenz- und Wurzelfunktionen

Lernpfad erstellt und betreut von:

Wolfgang Schäffer

E-mail: wolfgang.schaeffer@edu.uni-graz.at
Steckbrief
Kurs-Informationen
Ansicht mit Navigations-Frame
Lernpfadseite als User öffnen (Login)
Lernpfadseite bearbeiten (Autor)

Übersicht:       
Hilfe
1. Grundlegendes
2. Exponent mit natürlichen Zahlen
3. Exponent mit ganzen Zahlen
4. Die Wurzelfunktion (Exponent ist rational)
5. Potenzen und Wurzeln von Polynomen
6. Abschlusstest

Potenzen und Wurzeln von Polynomen
 
5.1 
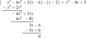
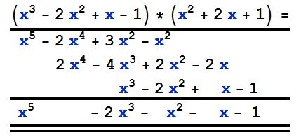
Division und Multiplikation von Polynomen:


Dieses Thema werde ich mit euch auf der Tafel genau durchgehen!

Hier findest du nur zwei Beispiele, die die Vorgehensweise zeigen:

(1)Multiplikation



(2)Division


www.rendtel.de


Zur Erinnerung beim Multiplizieren wird jeder Eintrag des zweiten Polynoms mit den Einträgen im ersten Polynom multiplliziert!
Beim Dividiern betrachtet man immer den Eintrag mit der höchsten Potenz und versucht diesen zu eliminieren. (Achtung immer Vorzeichen ändern!)

 
5.2 
Hier noch die wichtigen binomischen Formeln:



www.eugenbrigger.blogspot.com


www.cnk.gmxhome.de



 
5.3 
Zum Üben von den binomischen Formeln und den Zerlegungsformeln:


http://www.mathe-online.at/materialien/Wolfgang.Schaeffer/files/
   Potenz-_und_Wurzelfunktionen/Binomische_Formeln_und_Zerlegunsformeln.htm


 
Lernpfadseite als User öffnen (Login)

Falls Sie noch kein registrierter User sind, können Sie sich einen neuen Zugang anlegen. Als registrierter User können Sie ein persönliches Lerntagebuch zu diesem Lernpfad anlegen.

 Zur Galerie
 Zu den Mathematischen Hintergründen
 Zum Lexikon
 Zu den interaktiven Tests
 Zu den Mathe-Links und Online-Werkzeugen
 Zur Welcome Page
   Übersicht über die Lernpfade
 Open Studio Materialien
 Open Studio Eingang
 Neuen Zugang anlegen
 Login