Flächeninhalt des allgemeinen Dreiecks

Lernpfad erstellt und betreut von:

Marinne Blümel

E-mail: marianne.bluemel@edu.uni-graz.at
Steckbrief
Kurs-Informationen
Zusätzliche TutorInnen

Ansicht mit Navigations-Frame
Lernpfadseite als User öffnen (Login)
Lernpfadseite bearbeiten (Autor)

Übersicht:       
Hilfe
1. Was man über allgemeine Dreiecke wissen muss!
2. Fläche des allgemeinen Dreiecks
3. Übungsteil

Fläche des allgemeinen Dreiecks
 
2.1 Finde heraus.....
http://www.mathe-online.at/materialien/marianne.bluemel/files/
   Allgemeines-Dreieck/2._Kapitel/Arbeitsauftrag_schablone.pdf



Hier ist ein Arbeitsauftrag verlinkt. Versuche selbst durch Probieren herauszufinden,
wie die Flächenformel eines allgemeinen Dreiecks lautet.
Wenn du eine Idee hast, klebe die Schablone in dein Heft und schreibe die Formel dazu.

!!Vergiss nicht alles richtig zu beschriften!!

Danach vergleiche dein Ergebnis mit den unten gezeigten Varianten!

Übungsaufgabe
 
2.2 Flächenformel über das Parallelogramm
Allgemeines Dreieck ABC - GeoGebra Dynamisches Arbeitsblatt

Allgemeines Dreieck ABC

Bewege den Schieberegler α unten im Bild und beobachte was passiert!

Sorry, the GeoGebra Applet could not be started. Please make sure that Java 1.4.2 (or later) is installed and active in your browser (Click here to install Java now)

Was ist zu sehen?

Es entsteht durch die Drehung am Punkt D ein Parallelogramm.

Zum Verständnis der Flächenformel des allgemeinen Dreiecks, wird aus zwei gleichen Dreiecken ein Parallelogramm erstellt. Somit ist die Fläche des Parallelogramm die Fläche von zwei allgemeinen Dreiecken.

Daraus folgt: Die Fläche eines allgemeinen Dreiecks ist halb so groß wie die Fläche eines Parallelogramms.

Marianne Blümel, Erstellt mit GeoGebra


Lernstoff
 
2.3 Flächenformel über das großes Rechteck
Allgemeines Dreieck zu großem Rechteck erweitert - GeoGebra Dynamisches Arbeitsblatt

Allgemeines Dreieck zu großem Rechteck erweitert

Bewege die Schieberegler α und β und beobachte was passiert.

Sorry, the GeoGebra Applet could not be started. Please make sure that Java 1.4.2 (or later) is installed and active in your browser (Click here to install Java now)

Was ist zu sehen?

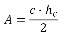
Man sieht 2 Dreiecke. Nun stelle dir vor, du schneidest das grün-blaue Dreieck an der Höhe h_c durch.Danach entsteht durch die Drehung an den Punkten M und L ein großes Rechteck.

Zum Verständnis der Flächenformel des allgemeinen Dreiecks, wird aus zwei gleichen Dreiecken ein großes Rechteck erstellt. Somit ist die Fläche des Rechtecks die Fläche von zwei allgemeinen Dreiecken.

Daraus folgt: Die Fläche eines allgemeinen Dreiecks ist halb so groß wie die Fläche eines Rechtecks mit den Seiten c und h_c.


Marianne Blümel, Erstellt mit GeoGebra


Lernstoff
 
2.4 Flächenformel über das kleine Rechteck
Allgemeines Dreieck zu kleinem Rechteck umgeformt - GeoGebra Dynamisches Arbeitsblatt

Allgemeines Dreieck zu kleinem Rechteck umgeformt

Bewege die Schieberegler α und β. Beobachte was passiert!

Sorry, the GeoGebra Applet could not be started. Please make sure that Java 1.4.2 (or later) is installed and active in your browser (Click here to install Java now)

Was ist zu sehen?

Man sieht ein rot umrandetes Dreieck. Nun stelle dir vor, du schneidest die grün-blaue Spitze des Dreiecks ab (genau auf halber Höhe) und dann schneidet man die Spitze noch an der schwarzen Linie durch (h_c) . Danach legt man die Dreiecke so hin, dass ein kleines Rechteck entsteht.

Zum Verständnis der Flächenformel des allgemeinen Dreiecks, wird ein Dreieck zu einem Rechteck umgewandelt.

Somit ist die Fläche des Rechtecks mit der Seite c und der halben Höhe h_c die Fläche vom allgemeinen Dreiecken.

Blümel Marianne, Erstellt mit GeoGebra


Lernstoff
 
2.5 Flächengleichheit
http://www.mathe-online.at/materialien/marianne.bluemel/files/
   Allgemeines-Dreieck/2._Kapitel/Flaechengleichheit.pdf




Hier findest du einen Link, der dir bei der Flächenberechnung
noch einen wichtigen Tipp gibt!

Also aufgepasst!

Übertrage die Zeichnung und die Formel in dein Heft!


Lernstoff
 
Lernpfadseite als User öffnen (Login)

Falls Sie noch kein registrierter User sind, können Sie sich einen neuen Zugang anlegen. Als registrierter User können Sie ein persönliches Lerntagebuch zu diesem Lernpfad anlegen.

 Zur Galerie
 Zu den Mathematischen Hintergründen
 Zum Lexikon
 Zu den interaktiven Tests
 Zu den Mathe-Links und Online-Werkzeugen
 Zur Welcome Page
   Übersicht über die Lernpfade
 Open Studio Materialien
 Open Studio Eingang
 Neuen Zugang anlegen
 Login