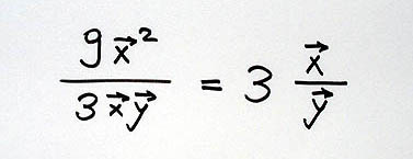
Betrachten Sie die dargestellte Rechnung! Sie enthält einen Fehler. Worin besteht er? Eine der angebotenen Antworten ist richtig. Klicken Sie auf das entsprechende Fragezeichen! Ihr Ziel sollte sein, nicht zu raten, sondern den Fehler bereits beim ersten Versuch richtig aufzudecken.
Wenn Sie auf das Bild klicken, erscheint ein Zusatzfenster, in dem der Fehler besprochen wird.
Lassen Sie sich Zeit - wenn Sie die Seite länger betrachten wollen, dann Sie sie einfach aus!

|
|
|
Zur Test-Überblicksseite Zur Galerie Zu den Mathematischen Hintergründen Zum Lexikon Zu den Mathe-Links und Online-Werkzeugen Zur Welcome Page |