Günstige Einstellungen für Computer,
Browser und Bildschirm

Sind Ihr Computer, Browser und Bildschirm so eingestellt, daß bei der Benützung von mathe online die optimale Funktionalität gesichert ist? Falls Sie in diesem Punkt nicht ganz sicher sind, können Sie hier einen Kurz-Check durchführen.

NEU: Problem der Formeldarstellungen in Firefox weitgehend behoben!


Welcher Browser?
  • Ihr Browser muß JavaScript und Java verstehen.

    • Leider kommt es bei Verwendung von Mozilla, Firefox und einiger anderer Browser zu Problemen mit der Darstellung mathematischer Symbole (für Wege zur Behebung siehe unten), und es können einige kleinere Fehlfunktionen bei interaktiven Tests (Puzzles) auftreten, die aber durch geeignete Bedienung umgangen werden können (s.u.). Sobald es eine in allen gängigen Browsern zur Verfügung stehende Alternative zur Darstellung von Formeln gibt (MathML oder Unicode sind derzeit noch nicht so weit!), wird sie in mathe online umgesetzt werden.
     
    Auf manchen Rechnern "Java Virtual Machine" (JVM). Falls Sie von diesem Problem betroffen sind (oder falls Ihre Java-Version veraltet ist), können Sie die jeweils neueste Version von dieser Seite downgeloaden. Nach dem Download startet das Setup von selbst.

    Da ständig neue Browser und neue Versionen (oft mit kleineren Bugs in der Ausführung von JavaScript) herauskommen, ersuchen wir Sie um Mithilfe: Wenn Sie auf offensichtliche Fehler der Funktionalität oder grobe Unstimmigkeiten in Layout, Fenstergrößen usw. stoßen, teilen Sie uns das bitte mit (inklusive der Angabe, welchen Browser welcher Version auf welchem Betriebssystem Sie verwenden).
      Weitere Details zur "Browserfrage" finden Sie in den untenstehenden Punkten.
     
Welche Schriftgröße?
  • Das Schriftbild der in mathe online vorkommenden Formeln ist am schönsten, wenn Ihr Bildschirm folgenden Test besteht:
     
    Test der Schriftgröße
    So stellt Ihr Browser einen Schriftzug dar. Diese Größe sollte er haben.

    Sie können die Schriftgröße unter Windows ändern, entweder indem Sie mit der rechten Maustaste den Hintergrund Ihres Bildschirms (Desktops) anklicken, "Einstellungen" und dann "Kleine Schriftzeichen" ("Small Fonts") wählen. Alternativ dazu können Sie die Schriftgröße in Ihrem Browser ändern.
     
Galerie
  • Die Applets der Galerie laufen nur in einem Browser, der Java interpretieren kann, und in dem diese Funktion aktiviert ist (dazu siehe auch die Anmerkungen etwas weiter unten). Für die Flash-Animationen muss das Flash Player Plugin installiert sein. (Manche benötigen Version 6, einige kommen mit Version 5 aus).

  • Die Bildschirmauflösung muß mindestens 800 x 600 Pixel betragen, ansonsten sind einige Applet-Fenster "zu groß".

  • Weiters ist es günstig, wenn als Farbtiefe ihres Bildschirms ein Wert größer als 256 Farben eingestellt ist, damit die Farben nicht verfälscht werden.

  • Die Funktionalität von Java-Applets sollte von ihrer Konzeption her für alle Web-Browser und Betriebssysteme das Gleiche sein sein. Leider kommt es aus Sicherheitsgründen in letzter Zeit dazu, dass Web-Browser die Ausführung von Java-Applets blockieren. Die von der Java-Betreiberfirma Oracle verlangte Signierung von Applets durch eine "vertrauenswürdigen Zertifizierungsstelle" kostet viel Geld, das mathe online nicht hat. Sie können aber, sofern Sie mathe online vertrauen, Ihrem System erlauben, die Applets der Galerie auszuführen:
    Was tun, wenn mein Browser Java-Applets blockiert?
     
    • Öffnen Sie das Java Control Panel, das Sie in der Systemsteuerung bzw. den Systemeinstellungen finden!
    • Klicken Sie auf den Reiter "Sicherheit"!
    • Hier können Sie die Java-Sicherheitsebene vorgeben. Die Mindestempfehlung ist "Hoch", die Stufe "Niedrig" scheint in den neueren Java-Versionen gar nicht mehr auf. Die Stufe "Mittel" einzustellen (was Ihnen erlauben würde, Applets nach einer Sicherheitswarnung auszuführen) wird nicht empfohlen.
    • Sie können aber auch (gleich darunter) selbst eine Liste der ausgenommenen Websites eintragen. Dazu Klicken Sie auf "Siteliste bearbeiten", dann im Fenster, das sich öffnet, auf "Hinzufügen" und geben in die nun erscheinende Zeile (unterhalb der Aufschrift "Verzeichnis") die Adresse

      http://www.mathe-online.at/

      ein! Klicken Sie auf "Hinzufügen" und (nachdem Sie die Warnung zur Kenntnis genommen haben) auf "Fortfahren", danach auf "Okay"! Das Fenster wird geschlossen, und Sie sehen wieder das Hauptfenster des Java Control Panel. Klicken Sie auf "Okay"!
    • Nun sollte Ihr Browser (genauer: alle Ihre Browser!) die Applets der Galerie (jeweils nach Bestätigung einer Sicherheitswarnung) ausführen.
    • Sollte der Erfolg ausbleiben, so helfen vielleicht diese zwei Schritte:
      • Falls Ihr Browser während des oben beschriebenen Vorgangs geöffnet war, schließen Sie ihn und starten Sie ihn neu!
      • Öffnen Sie noch einmal das Java Control Panel, dort den Reiter "Sicherheit" und klicken auf "Sicherheits-Prompts wiederherstellen" (das ist harmlos und löscht lediglich das Gedächtnis Ihres Systems über frühere Blockierungen bzw. Erlaubnisse)!
      • Falls das Java-Plugin Ihres Browsers nicht aktiviert ist, aktivieren Sie es mit einem Rechtsklick auf die Appletfläche!
      Falls auch das nichts nützt, sitzen Sie vielleicht hinter einer Firewall oder einem allzu strengen Proxy-Server, der Java nicht "durchlässt". Falls das zutrifft, rufen Sie bitte diese Seite auf!
  • Sie können einen kleinen Test durchführen, indem Sie auf den folgenden Button klicken. Er ruft einfach ein kleines Java-Applet auf.

  • Vor einiger Zeit gab es auf Windows-Rechnern beim Aufruf von Applets der Galerie, die bisher funktionierten, plötzlich als Fehlermeldung einen "ClassFormatError". Das kann so behoben werden:
    • Systemsteuerung, Suche nach dem "Java Control Panel".
    • Dort unter "Allgemein" auf "Einstellungen" gehen und durch Klick auf "Dateien löschen" die temporären Internet-Dateien entfernen!

Mathematische Hintergründe
  • Das lange bestehende Problem der Darstellung mathematischer Symbole in etlichen Web-Browsern wurde nun in den wichtigsten Komponenten von mathe online (durch die Implementierung eines JavaScripts, das die betreffenden Symbole in Unicode konvertiert) behoben! Für die verbleibenden Seiten, in denen Symbole falsch dargestellt werden, stehen die bisher von uns zusammengestellten Lösungsmöglichkeiten weiterhin zur Verfügung:

    • Da sich das Problem der mathematischen Symbole in Web-Texten anders stellt als in Java-Applets, haben wir uns für eine Lösung entschieden, die Sonderzeichen im "Symbol"-Schriftsatz darstellt, der üblicherweise auf modernen Plattformen zur Verfügung steht, und auf den die meisten Browser zugreifen können. (Technisch gesprochen, haben wir TeX-Dokumente mit Hilfe des Programms TTH, Version 1.5.5, in HTML konvertiert und nachbearbeitet). Allgemeine Informationen über den "Symbol"-Schriftsatz und damit verbundene Probleme finden Sie im TTH-Manual. Nach Fertigstellung eines Großteils der Seiten von mathe online haben mehrere Browser, beginnend mit dem damaligen Netscape, die Darstellung des "Symbol"-Schriftsatzes geändert, so dass nun insbesondere Mozilla und Firefox in der Grundeinstellung mathematische Symbole nicht korrekt darstellen. Eine befriedigende Lösung dieses Problems seitens mathe online, basierend auf MathML, wird aus Gründen unserer Zeitressourcen noch ein bisschen auf sich warten lassen, bis die Standardbrowser MathML ohne Zusatz-Plugins interpretieren. Im Folgenden geben wir Ihnen einige Hinweise, wie das Problem (zumindest auf einigen Systemen) behoben werden kann. Für hilfreiche Hinweise von BenutzerInnen betreffend weitere Lösungsmöglichkeiten beim gegenwärtigen Stand der Seiten von mathe online (Mail an mathe.online@univie.ac.at) sind wir dankbar!

    • Ein Weg, das Problem zu umgehen, besteht darin, den Internet Explorer oder Opera (siehe etwa Internet Explorer für Linux und Internet Explorer für Ubuntu) oder, wenn Sie unter Linux arbeiten, den Konqueror zu verwenden.

    • Eine Lösung, die im Firefox unter Windows und Linux getestet ist (und auch in anderen Browsern, die das DOM 2 unterstützen, funktionieren sollte), aber für jede Seite extra durchzuführen ist, wurde uns kürzlich mitgeteilt: Rufen Sie die Seite auf, deren Formelzeichen falsch darstellt werden, kopieren Sie den folgenden Text
      javascript:var view = document.defaultView; var symboltab = [0,0,0,0,0,0,0,0,0,0,0,0,0,0,0,0,0, 0,0,0,0,0,0,0,0,0,0,0,0,0,0,0,0,0,8704,0,8707,0,0, 8715,0,0,8727,0,0,8722,0,0,0,0,0,0,0,0,0,0,0,0,0,0, 0,0,0,0,8773,913,914,935,8710,917,934,915,919,921, 977,922,923,924,925,927,928,920,929,931,932,933,962, 8486,926,936,918,0,8756,0,8869,0,8254,945,946,967, 948,949,966,947,951,953,981,954,955,956,957,959,960, 952,961,963,964,965,982,969,958,968,950,0,0,0,8764,0, 0,0,0,0,0,0,0,0,0,0,0,0,0,0,0,0,0,0,0,0,0,0,0,0,0,0, 0,0,0,0,0,0,0,978,8242,8804,8725,8734,402,9827,9830, 9829,9824,8596,8592,8593,8594,8595,176,177,8243, 8805,215,8733,8706,8226,247,8800,8801,8776,8230,0, 0,8629,8501,8465,8476,8472,8855,8853,8709,8745,8746, 8835,8839,8836,8834,8838,8712,8713,8736,8711,174,169, 8482,8719,8730,8901,172,8743,8744,8660,8656,8657, 8658,8659,9674,9001,174,169,8482,8721,0,0,0,0,0,0,0, 0,0,0,0,9002,8747,8992,0,8993,0,0,0,0,0,0,0,0,0, 0]; function convNode(n) { var n1; if (n == null) return; if (n.nodeType == 3) { elem = n.parentNode; var st = view.getComputedStyle(elem, null); var val = st.getPropertyValue('font-family'); if (val.toLowerCase() == 'symbol') { var s0 = n.data, s1 = '', len = s0.length, ch; for (i = 0; i < len; i++) { ch = s0.charCodeAt(i); if (ch < 256 && symboltab[ch] != 0) ch = symboltab[ch]; s1 += String.fromCharCode(ch); } n.data = s1; } } n1 = n.firstChild; while (n1 != null) { convNode(n1); n1 = n1.nextSibling; } } convNode(document);
      in die Adresszeile und drücken Sie die Entertaste – die Formeln sollten nun richtig dargestellt werden. Sie können diesen Text auch als Lesezeichen (Bookmark) speichern (indem Sie irgendein Lesezeichen anlegen und dann die Adresse durch den obigen Text ersetzen) und erhalten stets die richtige Darstellung auf Knopfdruck! Die Technik ist auf dieser Seite beschrieben, die Hintergründe werden auf dieser Seite des SchulbuchWiki erläutert. (Dank an den Autor für den Hinweis an uns!)

    • Eine dauerhafte Behebung des Problems in Firefox (sofern auf Ihrem System auch der Internet Explorer installiert ist) kann mit Hilfe eines kostenlosen Add-ons namens IE TAB bewerkstelligt werden: Es bewirkt, dass rechts unten in der Statuszeile des Browsers ein kleines Firefox-Symbol erscheint. Wird es angeklickt, verwendet Firefox für die Darstellung dieser Seite die Engine des Internet Explorer (und das Firefox-Symbol verwandelt sich in ein Symbol des Internet Explorer)! Dadurch werden die Formeln korrekt angezeigt (Screenshots). Ein weiterer Klick stellt wieder auf die Firefox-Darstellung zurück. Ist nach dem Klick auf einen Link in mathe online vorgesehen, dass eine Seite in einem neuen Fenster geöffnet wird, so wird sie bei aktiviertem IE Tab statt dessen unter Umständen in einem neuen Tab des Firefox geladen, was weiter kein Problem darstellt.

      Und so integrieren Sie den IE Tab in Ihren Firefox:
       
      • Extras > Add-ons > Add-ons herunterladen
      • Geben Sie in das Suchfeld IE Tab ein!
      • In Kürze wird es gefunden, angezeigt, und Sie können es zu Firefox hinzufügen und installieren. Nach einem Neustart von Firefox wird der IE Tab aktiviert.
      • Danach finden Sie den IE Tab unter Extras > Add-ons > Erweiterungen und können ihn jederzeit (vorübergehend) deaktivieren oder (dauerhaft) deinstallieren.

    • Weiters besteht unter Windows, Linux, und MacIntosh die Möglichkeit, die Firefox-Erweiterung IE View Lite zu verwenden (Beschreibung). Sie erlaubt es, einzelne Webseiten in der Ansicht eines anderen installierten Browsers (etwa des Konqueror, falls kein Internet Explorer vorhanden ist) darzustellen.

    • Ältere Hinweise für die Behandlung des Problems (Unix/Linux, MacIntosh), die leider zum Großteil nicht mehr funktionieren, können Sie sich hier ansehen.

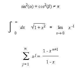
    • Ein kleiner Test: Links sehen Sie die von Ihrem Browser dargestellten Symbole, rechts davon ein graphisches Bild, das Ihnen zeigt, wie die Symbole aussehen sollten.

      sin2(a) + cos2(b) ¹ p

      ó
      õ
      ¥

      0 
      dx     _____
      Ö1 + x2
       
        º  
      lim
      x® 0 
       x -1

      n
      å
      j = 1 
      x j = 1 - x n+1
      1 - x
      So stellt Ihr Browser die Symbole dar. So sollten die Symbole aussehen.

      Stimmen die Symbole im Großen und Ganzen überein? Dann hat Ihr System den Test bestanden. Falls dies nicht der Fall ist, lesen Sie bitte noch einmal die vorgehenden Punkte! Falls die Schriftgrößen gröblich nicht übereinstimmen: siehe den obigen Punkt Welche Schriftgröße?

  • Die Texte der mathematischen Hintergründe sind gewöhnliche Web-Dokumente und können als solche ausgedruckt werden. Einige Kombinationen Browser/Drucker kommen mit längeren Web-Seiten nicht gut zurecht. Falls Ihr Drucker manche Dokumente unvollständig ausdruckt, gehen Sie - falls vorhanden - auf die Option Print Preview (im File-Menü), blättern Sie alle Druckseiten in der Vorschau durch und drucken Sie das Dokument dann aus. Das hilft in vielen Fällen.

Puzzles zum Selbermachen, interaktive Tests und Unterrichtsvorschläge
  • Leider stellen manche Browser die Puzzles mit kleineren Fehlfunktionen dar, die allerdings durch einen kleinen Trick in der Bedienung umgangen werden können. (Darauf werden Sie automatisch hingewiesen, wenn Sie ein solches Puzzle in einem Mozilla-verwandten Browser aufrufen).

 Zum Seitenanfang
 Zur Galerie
 Zu den Mathematischen Hintergründen
 Zum Lexikon
 Zu den interaktiven Tests
 Zu den Mathe-Links und Online-Werkzeugen
 Zur Welcome Page
   Übersicht über die Lernpfade
 Open Studio Materialien
 Open Studio Eingang