Gram-Schmidt-Prozess zur Konstruktion einer orthonormierten Basis
Andreas Pester
Fachhochschule Techikum
Kärnten, Villach
pester@cti.ac.at
Zusammenfassung: In
diesem Abschnitt wird der Gram-Schmidt-Prozess zur Konstruktion einer
orthonormierten Basis in einem Vektorraum erläutert. Er enthält einen Link zu
einer Simulation zur Konstruktion einer orthonormierten Basis im R3
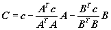
Gegeben seien drei linear unabhängige Vektoren a, b, c in R3 , gesucht sind drei orthonormierte Vektoren, A, B, C, die eine orthonormierte Basis für R3 bilden.
|
|
A = a |
|
|
|
|
|
|
|
|
Hat man n linear unabhängige Vektoren im Rn , so wendet man den Algorithmus analog an, ein Vektor wird ausgesucht, der zweite in seine Projektionsteile zerlegt und der zum ersten Vektor orthogonale Teil als neuer Basisvektor gewählt, der nächste Vektor wird zu den ersten beiden orthgonal gewählt usw. Zum Schluss wird normiert.
