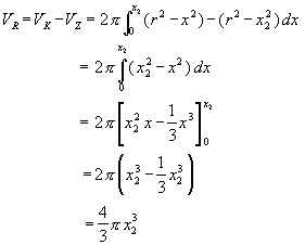
Sei VK das Volumen des Kugelstumpfs und sei VZ das Volumen des Zylinders. Gesucht ist das Volumen des sphärischen Rings VR und es gilt VR = VK - V
Z.
Zur Lösung benutzen wir folgendes Ergebnis der Integralrechnung:
Also ist 
Die Funktionsgleichung durch deren Rotation der Zylinder entsteht ist eine
Gerade y = f(x) = c, mit konstantem c. Der Wert von c ist offensichtlich gleich dem Wert der Kreisgleichung am Punkt x2.
Also und 
Rechnen wir die Integrale nun aus und nutzen dabei die bisher ignorierte
Tatsache, daß der Kreisbogen symmetrisch zur y-Achse liegt und x1 = -x2 , sowie | x2 | = 2 ist:
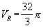
Mit x2 = 2 folgt:
Das Überraschende an diesem Ergebnis:
[Folgerung 1]: Die Lösung ist eine Konstante. Sie hängt nicht vom Radius r ab. [Folgerung 2]: Das gesuchte Volumen ist gleich dem Volumen einer Kugel mit
Radius 2 cm.
Es gilt sogar
[Folgerung 1] <=> [Folgerung 2]
denn wenn das Ergebnis nicht vom Radius abhängt, dann betrachten wir die
Aufgabe mit r = 2. Ein zylindrisches Loch mit Höhe 4, das durch eine Kugel mit Durchmesser 4 gebohrt wird, ist aber nicht mehr als eine Linie und hat das Volumen 0.
In diesem Grenzfall (r=2) ist das gesuchte Volumen identisch mit dem Volumen der Kugel. Da das Ergebnis nicht vom Radius abhängt, gilt diese Lösung auch für alle anderen Radien.
Umgekehrt: wenn die Lösung konstant ist, dann hängt sie auch nicht vom Radius ab.
Bemerkung: eine meiner Lieblingsaufgaben! Ich suche noch nach einer
Lösung, die ohne Verwendung von Ergebnissen der Integralrechnung auskommt. Am liebsten möchte ich die Lösung rein geometrisch finden. Anmerkungen und Ergänzungen nehme ich gerne entgegen.
Kontakt: w@matroid.de ã Matroid 2000 |