Änderungsmaße (Wiederholung)
Zuordnungsübung
Ordne den Gleichungen auf der Linken Seit die richtige Bedeutung zu.
Aufgabenstellung
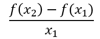
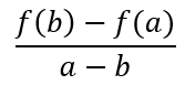
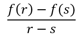
Ordne den Formeln das richtige Ändeurngsmaß zu, wobei gilt
x
1
< x
2
, a < b, c < d, s < r
Check
mittlere Änderungsrate, Differenzenquotient
Änderungsfaktor
relative Änderung
(momentane) Änderung, Differentialquotient
absolute Änderung
nicht defininiert
mittlere Änderungsrate, Differenzenquotient
Änderungsfaktor
relative Änderung
(momentane) Änderung, Differentialquotient
absolute Änderung
nicht defininiert
mittlere Änderungsrate, Differenzenquotient
Änderungsfaktor
relative Änderung
(momentane) Änderung, Differentialquotient
absolute Änderung
nicht defininiert
mittlere Änderungsrate, Differenzenquotient
Änderungsfaktor
relative Änderung
(momentane) Änderung, Differentialquotient
absolute Änderung
nicht defininiert
mittlere Änderungsrate, Differenzenquotient
Änderungsfaktor
relative Änderung
(momentane) Änderung, Differentialquotient
absolute Änderung
nicht defininiert
mittlere Änderungsrate, Differenzenquotient
Änderungsfaktor
relative Änderung
(momentane) Änderung, Differentialquotient
absolute Änderung
nicht defininiert
Check
OK