Name der Figur

Gleichseitiges Dreieck

Skizze

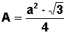
Flächeninhalt

Umfang

Weitere

Eigenschaften

Ein gleichseitiges Dreieck hat drei gleich lange Seiten:
a = b = c.
Die drei Winkel sind gleich groß: 60°.