3.2.2 Graphische Lösung eines Systems von zwei linearen Ungleichungen

Wir haben das System von Ungleichungen { 1 - x £  y, y <  5/2*x+1/2 }

[Maple Plot]

Man sieht wiederum sehr schön den Lösungsbereich (rot). Da die erste Ungleichung nicht streng ist, gehören die Werte auf der Grenzlinie (grün) auch mit zum Lösungsbereich, die zweite Ungleichung ist streng, die Werte auf der Geraden (blau) sind vom Lösungsbereich ausgeschlossen. Der Schnittpunkt beider Geraden erfüllt beide Bedingungen und gehört damit sowohl zur Lösungsmenge als auch nicht. Für diesen paradoxen Fall vereinbaren wir, dass der Punkt nicht zur Lösungsmenge gehört.

Manchmal sind auch Gleichungen in dem System mit vertreten. Hier ein Beispiel:

{ x+y > 0, y= sin (p/4)*x, y  <  3/2*x+1}

[Maple Plot]

In diesem Fall werden alle drei Bedingungen nur von den Punkten erfüllt, die auf der Geraden y=sin(Pi/4)*x im roten Bereich liegen. Der Punkt (0,0) gehört nicht zum Lösungsbereich, obwohl er auf der Geraden y=sin(Pi/4)*x liegt, denn andererseits wird er durch die Bedingung x+y > 0 von der  Lösungsmenge ausgeschlossen.

Ein sehr interessantes Beispiel ist das Ungleichungssystem |x| + |y|  £ 1 

[Maple Plot]

Aufgabe: Lösen Sie dieses Ungleichungssystem händisch !

Hier ist ein  Java-Applet zur graphischen Lösung eines Systems von linearen und quadratischen Ungleichungen.

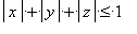
Man kann auch einen Bereich im R³ bestimmen, für den ein System von Ungleichungen mit drei Variablen erfüllt ist.. Für die Ungleichung [Maple Math] ist es der Oktaeder mit allen Punkte inseitig des Körpers.

[Maple Plot]

back     forward  

Übersicht