Partielle Ableitung und Gradient einer Funktion mehrerer Variabler

Andreas Pester@CTI

1. Definition

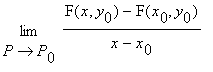
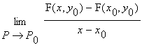
Wir betrachten die Funktion F(x,y) in der Umgebung U eines Punktes ( x[0], y[0] ) und bilden den Grenzwert limit((F(x,y[0])-F(x[0],y[0]))/(x-x[0]),P = P[0]) . Wenn dieser Grenzwert existiert, nennt man ihn die partielle Ableitung der Funktion F(x,y) nach x im Punkte P[0]  und schreibt limit((F(x,y[0])-F(x[0],y[0]))/(x-x[0]),P = P[0])  = diff(F(x,y),x) | P = P[0] .

Graphisch lässt sich dies im Falle einer zweiwertigen Funktion sehr schön an einer Oberfläche F(x,y) im R³, entlang einer Grid-Linie, z.B. F( x[0], y ) und der anliegenden Tangente darstellen.

>    f:=(x,y)->-(x^(1/2)*y^3);

f := proc (x, y) options operator, arrow; -x^(1/2)*y^3 end proc

>    with(plots):

>    A:=plot3d(f(x,y),x=2..3,y=0..3,title=`Oberfläche mit Grid-Linie und Tangente`):

>    a:=2.5:

>    B:=spacecurve([a,t,f(a,t)],t=0..3,colour='blue',thickness=3):

>    f1:=unapply(diff(f(x,y),y),(x,y));

f1 := proc (x, y) options operator, arrow; -3*x^(1/2)*y^2 end proc

>    C:=spacecurve([a,t,f1(a,2)*(t-2)+f(a,2)],t=0..3,colour='red',thickness=3):

>    display3d(A,B,C,axes=FRAME);

Man sieht hier die Oberfläche im Raum mit der blauen Grid-Linie und der Tangente an die Linie im Punkte ( x[0], y[0] ) Die partielle Ableitung in diesem Falle nach y im Punkte ist dann der Anstieg der Tangente an diese Grid-Linie.

[Maple Plot]

Man kann die partiellen Ableitungen von f(x,y) nach allen Variablen bilden.

>    f_nach_x:=diff(f(x,y), x);

f_nach_x := -1/2/x^(1/2)*y^3

>    f_nach_y:=diff(f(x,y), y);

f_nach_y := -3*x^(1/2)*y^2

Man sieht, das Differenzieren erfolgt rein technisch nach der Regel, das nur eine der unabhängigen Variablen als veränderlich gesetzt wird, nach ihr wird differenziert, die anderen Variablen werden in diesem Fall als Konstanten angesehen.

Aufgabe:

Leiten Sie folgende Funktion partiell nach x, bzw. y ab:     x^2*y^3+ln(x)

2. Partielle Ableitungen höherer Ordnung

Als Ergebnis der partiellen Ableitung erhalten wir in der Regel wiederum Funktionen von mehreren Variablen, die man wiederum ableiten kann. Man definiert also die n-te partielle Ableitung einer Funktion als die partielle Ableitung der (n-1)-ten Ableitung.

Es treten nun auch sogenannte gemischte Ableitungen auf, bei denen einmal nach x, dann nach y abgeleitet, bzw. in der anderen Reihenfolge, z.B.:

>    g:=(x,y)->x^2*y^3+y*ln(x);

g := proc (x, y) options operator, arrow; x^2*y^3+y*ln(x) end proc

>    diff(g(x,y),x);# 1.partielle Ableitung nach x

2*x*y^3+y/x

>    diff(g(x,y),x$2); # 2. partielle Ableitung nach x

2*y^3-y/x^2

>    diff(g(x,y),y); # 1. partielle Ableitung nach y

3*x^2*y^2+ln(x)

>    diff(g(x,y),y$2); # 2. partielle Ableitung nach y

6*x^2*y

>    diff(diff(g(x,y),x),y); # 2. partielle Ableitung zuerst nach x und dann nach y

6*x*y^2+1/x

>    diff(diff(g(x,y),y),x); # 2. partielle Ableitung zuerst nach y und danach nach x

6*x*y^2+1/x

Die Frage ist, ob die partiellen gemischten Ableitungen immer unabhängig von der Reihenfolge der Variablen, nach denen abgeleitet wird.

d.h. ob    f[xy] = f[yx]  immer gilt ?

Betrachen wir folgende Funktion:

>    g:=(x,y)->piecewise(x<>0 and y<>0,x*y*(x^2-y^2)/(x^2+y^2),otherwise,0);

g := proc (x, y) options operator, arrow; piecewise(x <> 0 and y <> 0,x*y*(x^2-y^2)/(x^2+y^2),otherwise,0) end proc

>    gx:=diff(g(x,y),x);

gx := y*(x^2-y^2)/(x^2+y^2)+2*x^2*y/(x^2+y^2)-2*x^2*y*(x^2-y^2)/(x^2+y^2)^2

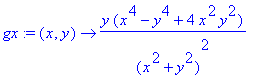
>    gx := y*(x^4-y^4+4*x^2*y^2)/((x^2+y^2)^2);

gx := y*(x^4-y^4+4*x^2*y^2)/(x^2+y^2)^2

>    gx:=(x,y)->y*(x^4-y^4+4*x^2*y^2)/((x^2+y^2)^2);

gx := proc (x, y) options operator, arrow; y*(x^4-y^4+4*x^2*y^2)/(x^2+y^2)^2 end proc

Dies ist die erste Ableitung von g nach x. Man beachte aber, dass diff(g(0,0),x) =0. Bilden wir nun die 1.partielle Ableitung nach y

>    gy:=diff(g(x,y),y);

gy := x*(x^2-y^2)/(x^2+y^2)-2*x*y^2/(x^2+y^2)-2*x*y^2*(x^2-y^2)/(x^2+y^2)^2

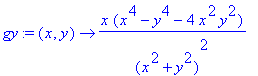
>    gy := x*(x^4-y^4-4*x^2*y^2)/((x^2+y^2)^2);

gy := x*(x^4-y^4-4*x^2*y^2)/(x^2+y^2)^2

>    gy:=(x,y)->x*(x^4-y^4-4*x^2*y^2)/( (x^2+y^2)^2);

gy := proc (x, y) options operator, arrow; x*(x^4-y^4-4*x^2*y^2)/(x^2+y^2)^2 end proc

Die erste Ableitung von g nach y, aber auch hier gilt diff(g(0,0),y) =0

Somit ist die Ableitung diff(diff(g(x,y),x),y)  im Punkte (0,0) nach Definition limit((gx(0,y)-0)/y,y = 0)

>    limit((gx(0,y)-0)/y, y=0);

-1

Aber die Ableitung diff(diff(g(x,y),y),x)  hat den Wert

>    limit((gy(x,0)-0)/x,x=0);

1

Man sieht  also, dass die partiellen Ableitungen nicht immer vertauschbar sind.

Theorem (von Schwarz):

Für jede zweimal partiell stetig ableitbare  Funktion f(x,y) gilt

diff(diff(f,x[j]),x[i])  = diff(diff(f,x[i]),x[j])

3. Gradient

Der Gradient ist eine vektorwertige Funktion, die jedem n-Tupel aus R^n  genau einen Vektor mit n Komponenten zuordnet.

grad f( x[1], x[2] ,..., x[n] ) = matrix([[diff(f,x[1])], [diff(f,x[2])], [%?], [diff(f,x[n])]])

>    with(linalg):

>    f:=(x,y,z)->exp(x+2*y)+2*x*sin(z)+z^2*x*y;

f := proc (x, y, z) options operator, arrow; exp(x+2*y)+2*x*sin(z)+z^2*x*y end proc

>    GRAD_f:=grad(f(x,y,z),[x,y,z]);

GRAD_f := vector([exp(x+2*y)+2*sin(z)+z^2*y, 2*exp(x+2*y)+z^2*x, 2*x*cos(z)+2*z*x*y])

>   

>   

Die geometrische Interpretation des Gradienten wird im Zusammenhang mit der Vektoranalysis genau erklärt. Hier sind aber schon einige Darstellungen. graphische Interpretation